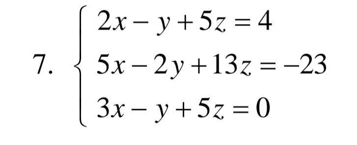
Решите систему линейных уравнений y 2x 0