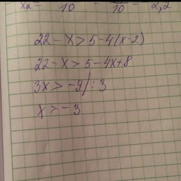
Решите неравенство x 4 4x 4