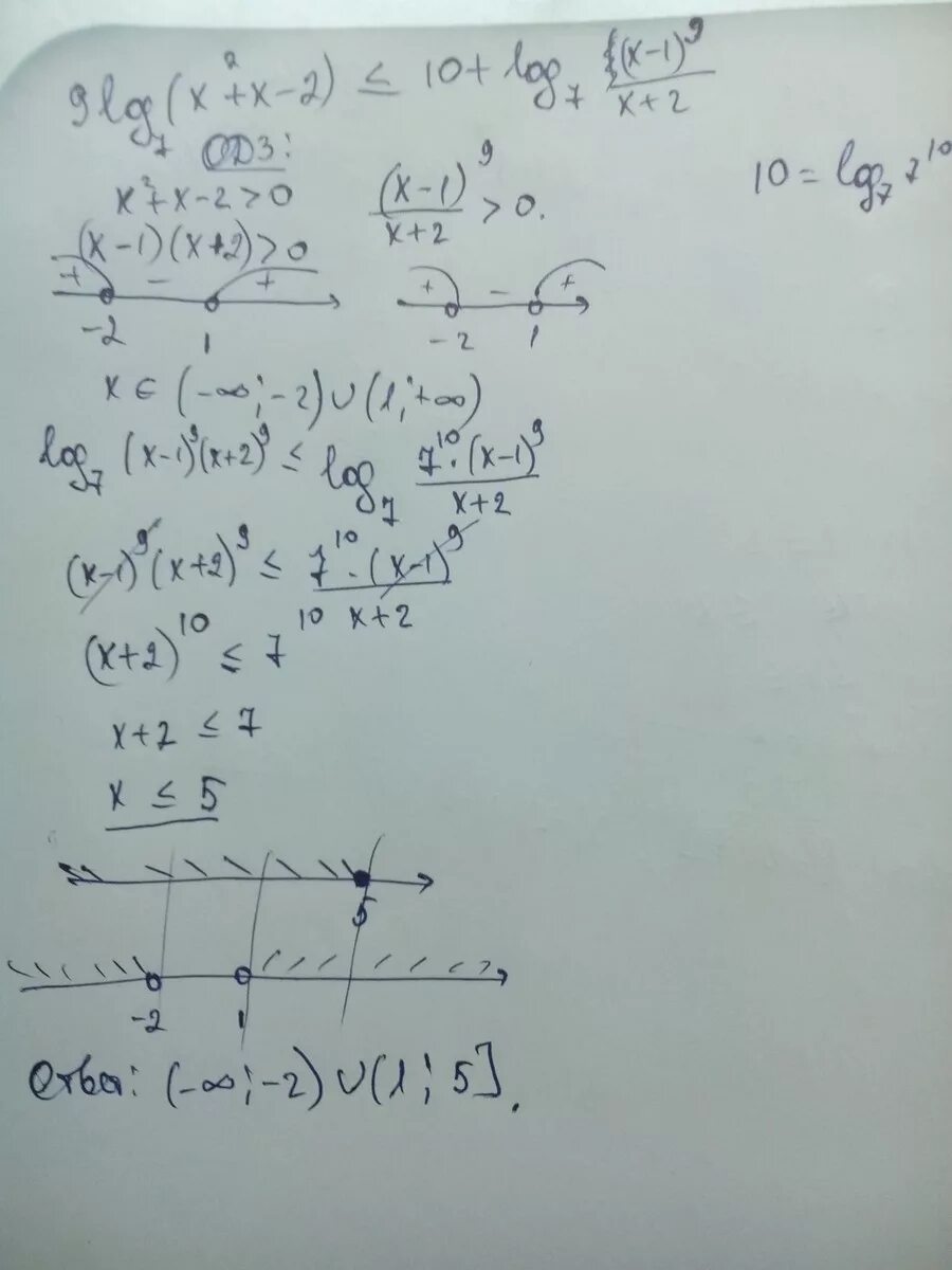
Решите неравенство logx2 x x2 2x 1