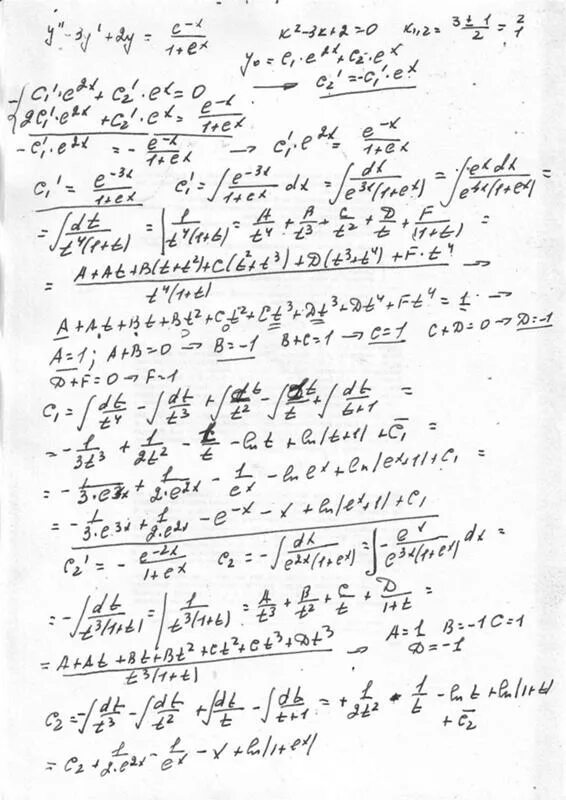
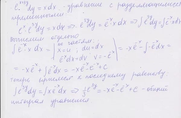
Решить y x 1 e x