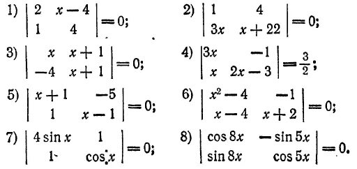
Решить уравнение определителя