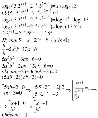
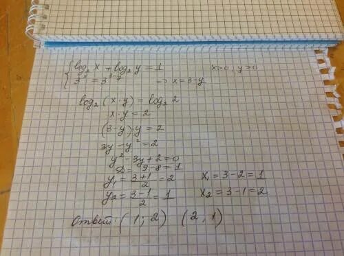
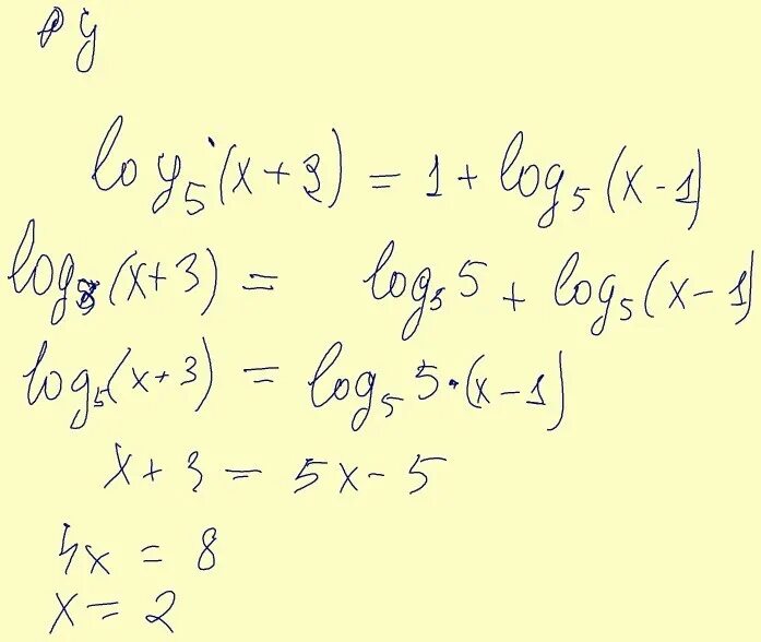
Решить уравнение log3 x 5 4