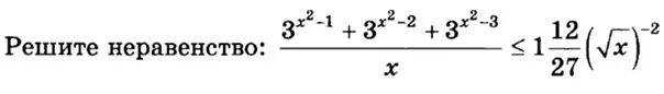
Решить уравнение 5х2 1 0