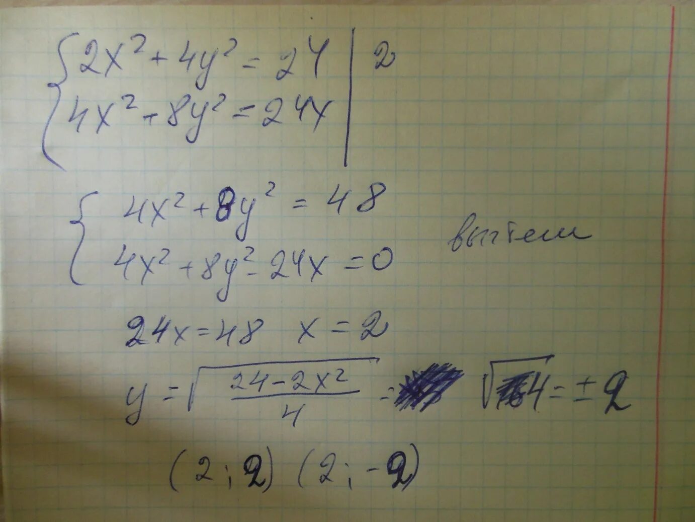
Решить систему 2x 4