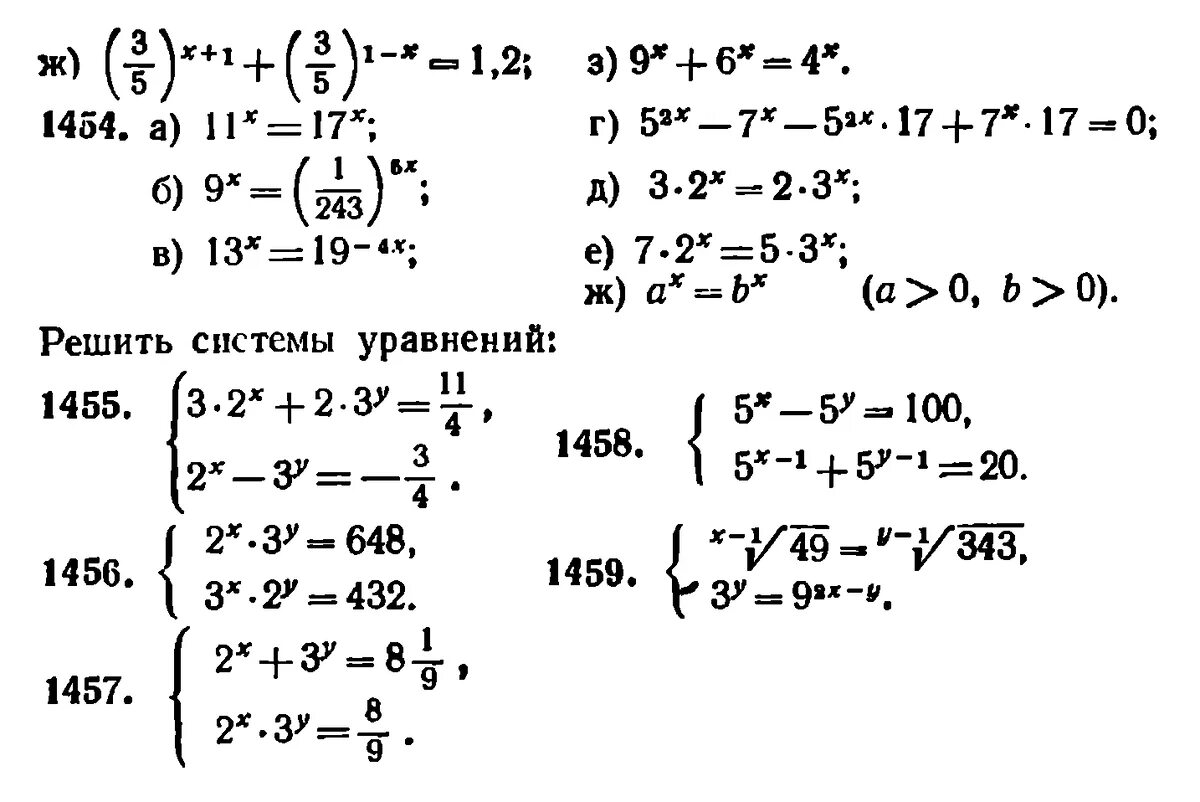
Решить показательных систему