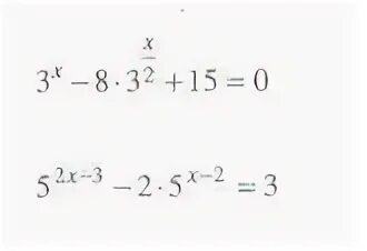
Решить показательное уравнение 9 3 x 1