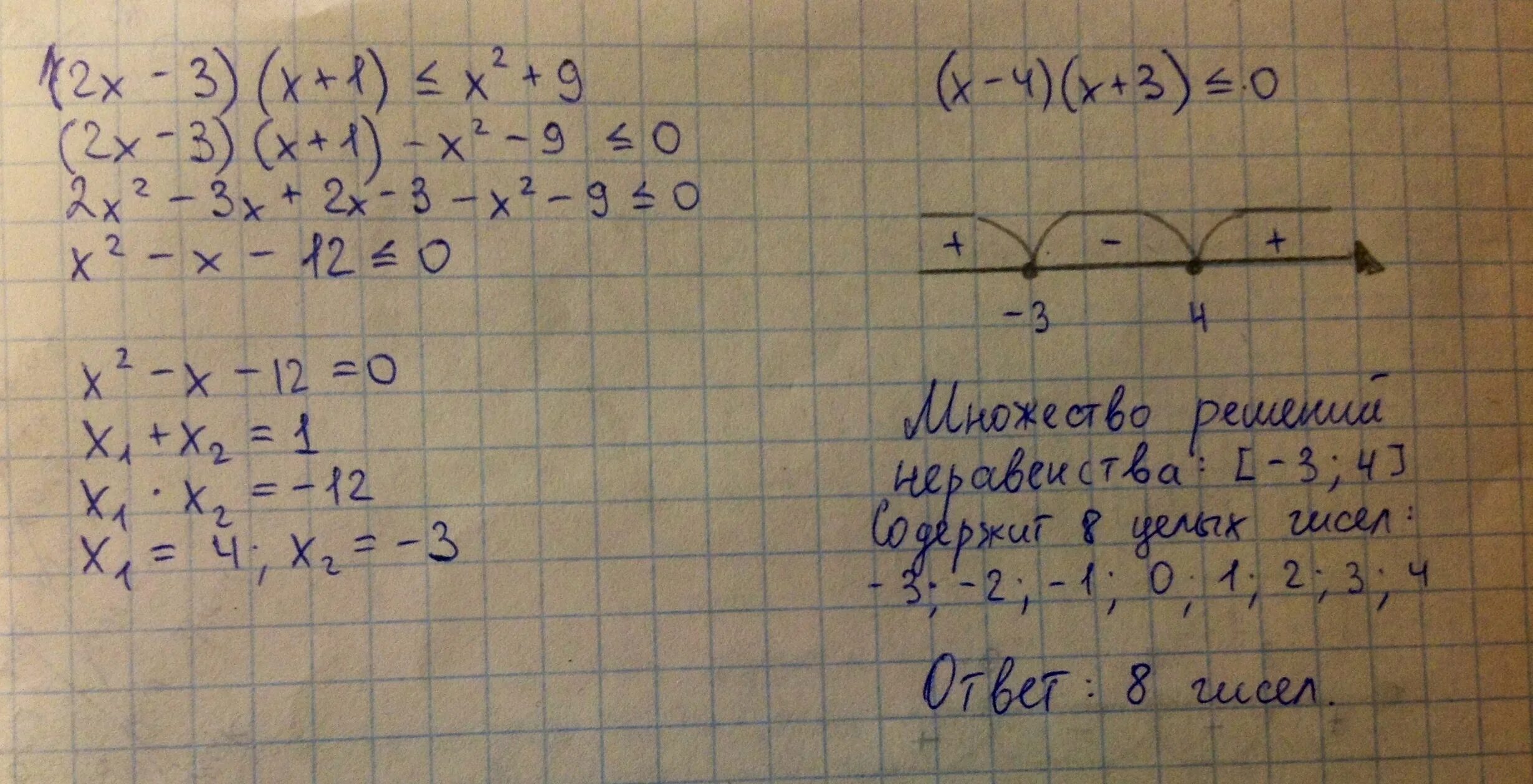
Решить неравенство 5х 8 2 3х