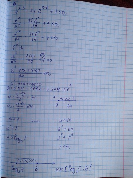
Решить неравенство 4x 16