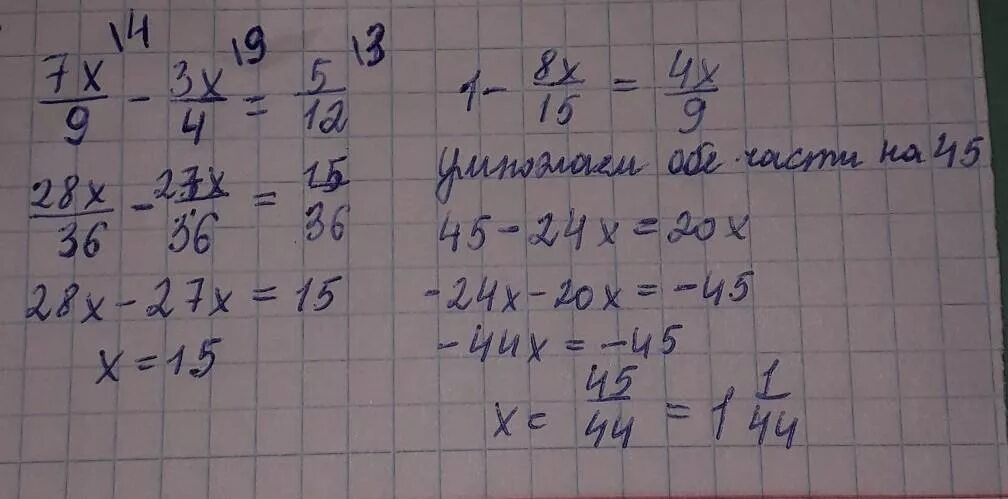
Решить 9 2 4х 7 7