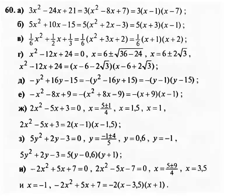
Решение заданий алгебра макарычев 9 класс