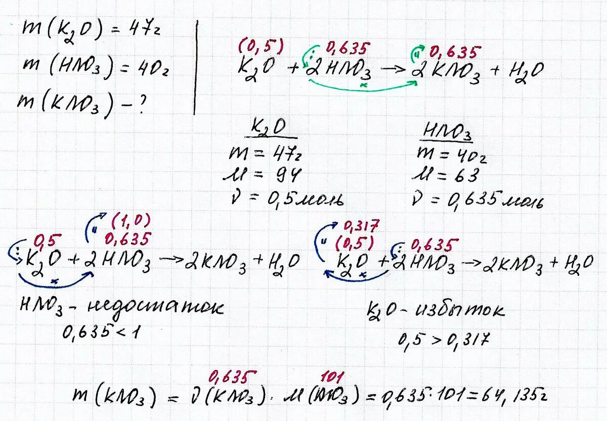
Решение задач по недостатку химия