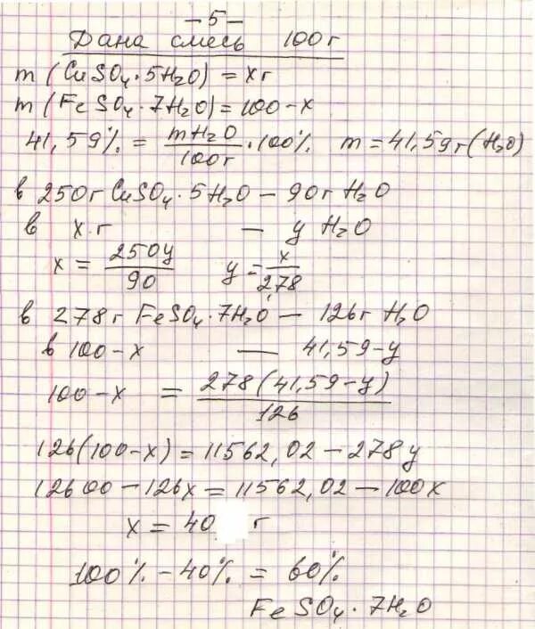
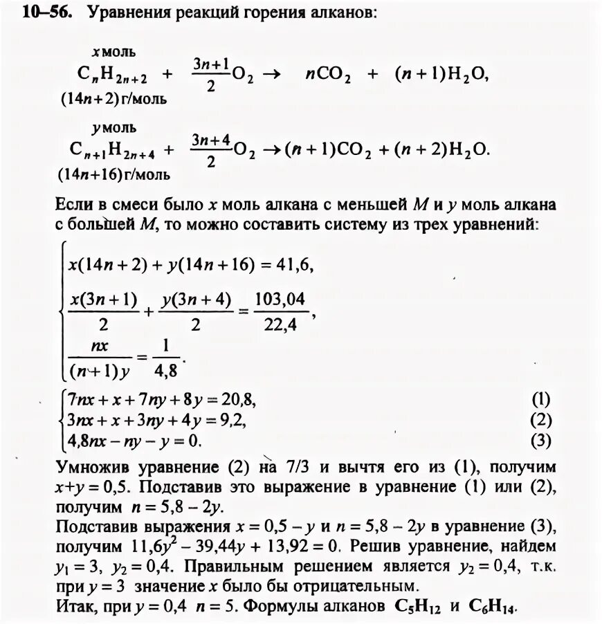
Решение расчетных задач по химии 8 класс