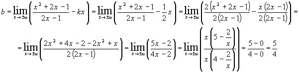
Решение работ по высшей математике