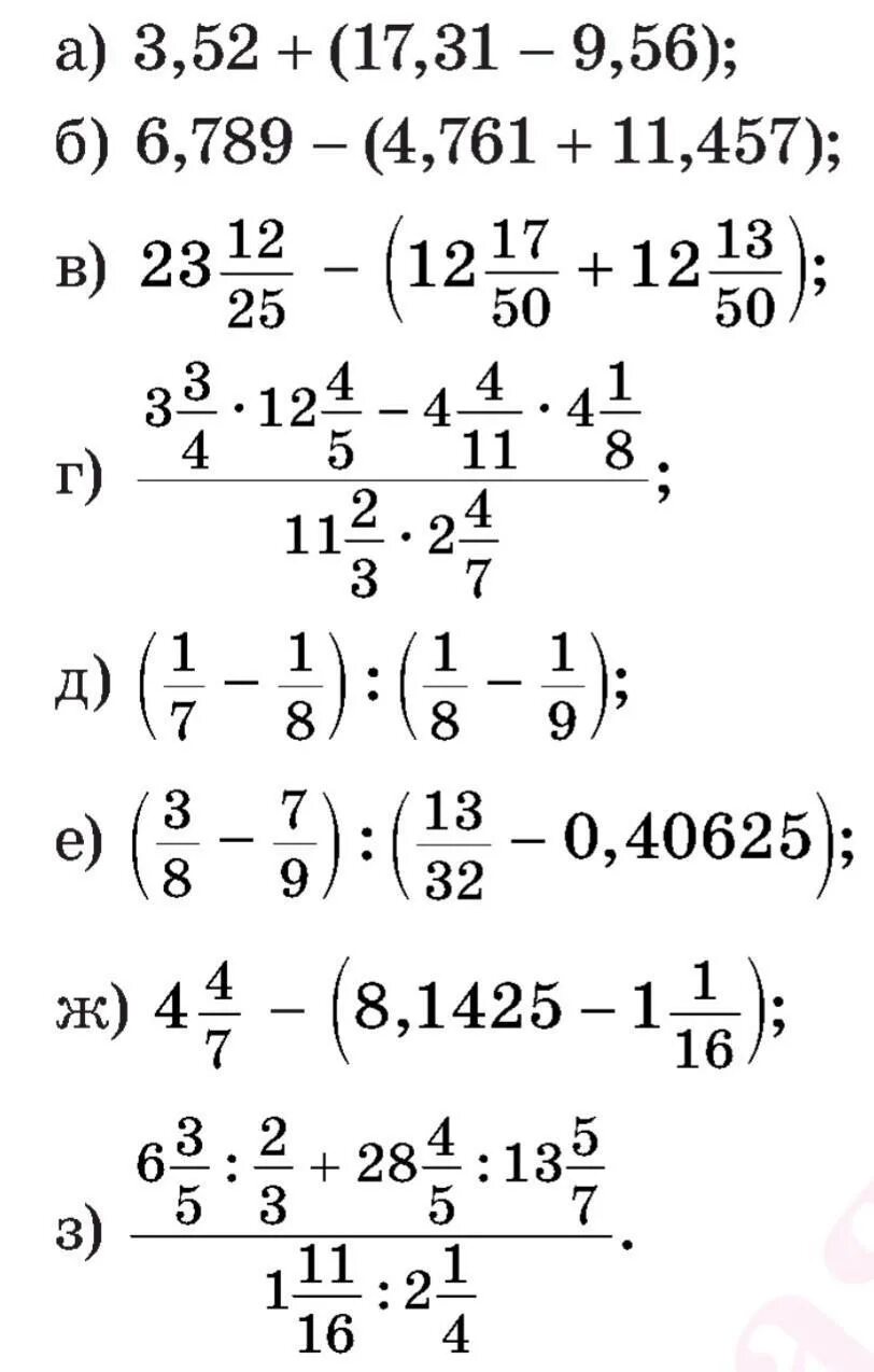
Решение примеров с десятичными дробями 6 класс