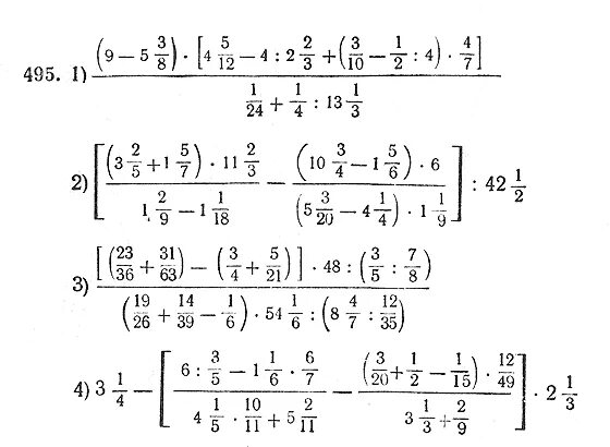
Решение примеров 9 класс