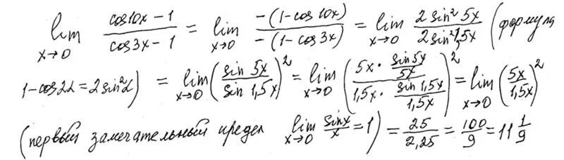
Решение пределов с тригонометрическими функциями