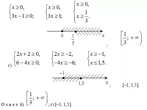
Решение неравенств с 1 переменной 8 класс