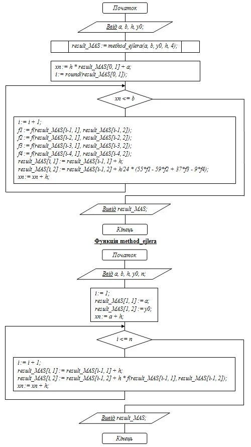
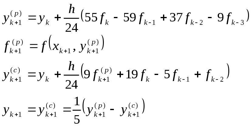
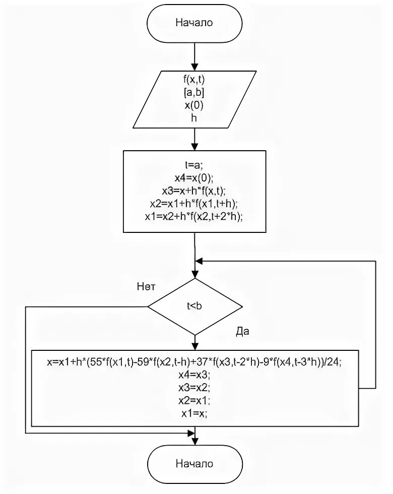
Решение методом адамса