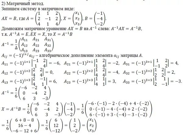
Решение матричного уравнения ax b