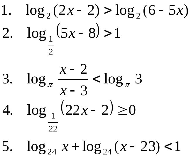
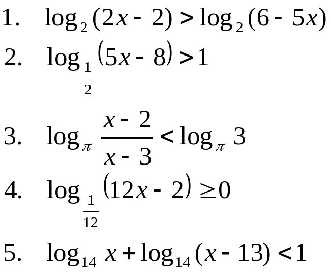
Решение логарифмических неравенств самостоятельная работа