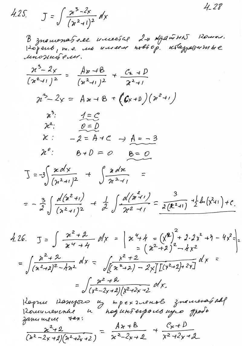
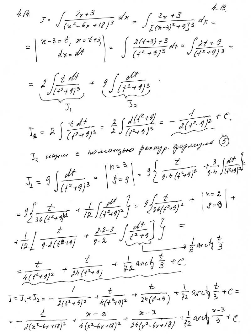
Решение интегралов дробями