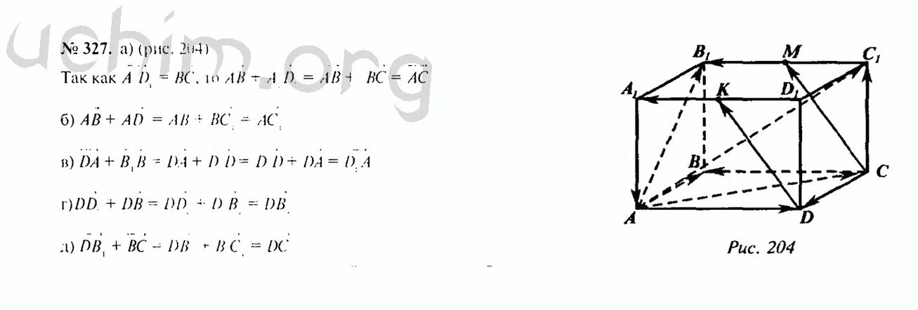
Решебник по геометрии 11 контрольные работы