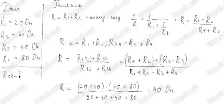
Реостат изготовлен из нихромовой проволоки