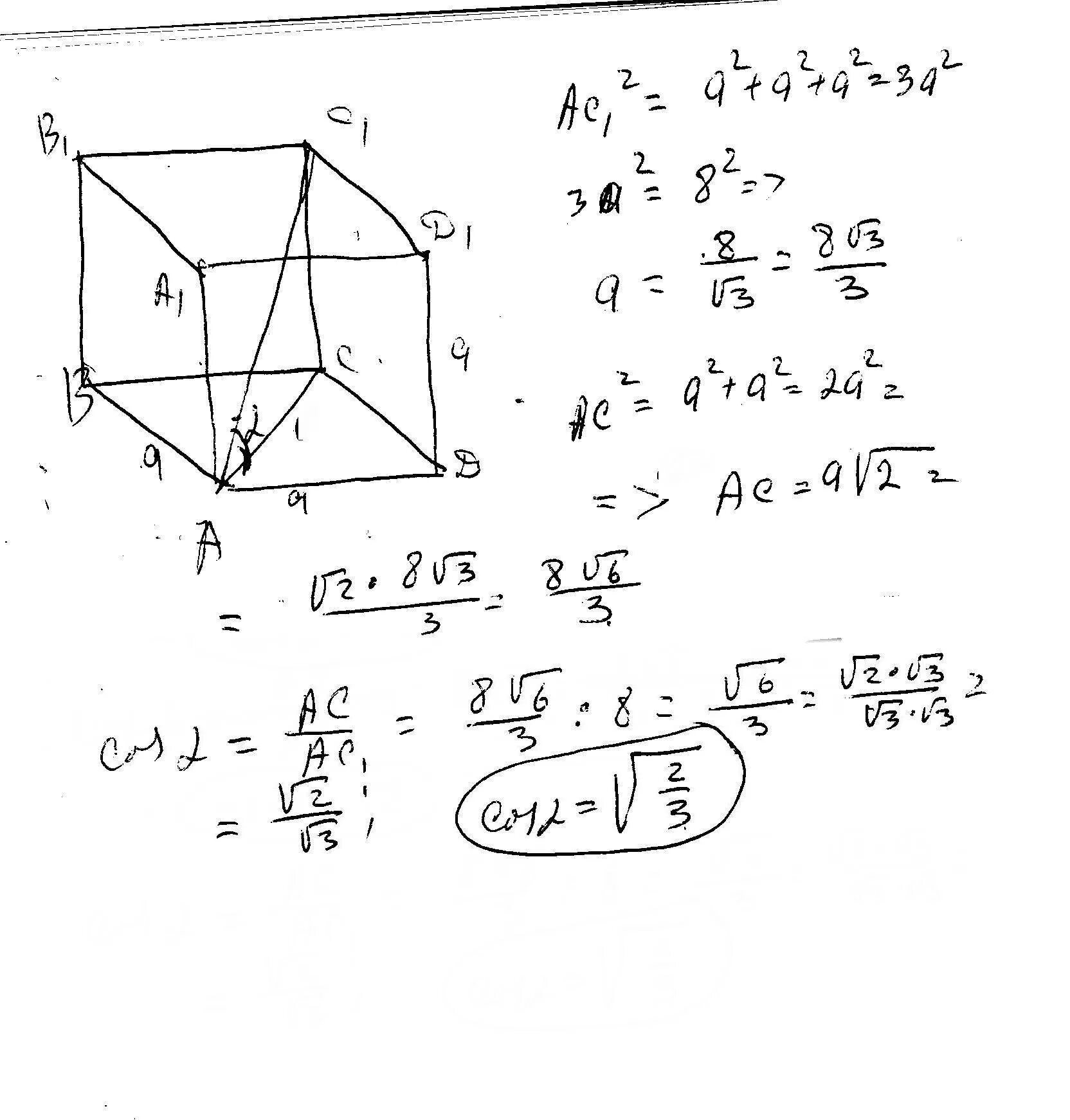
Ребро куба равно 12 найти диагональ