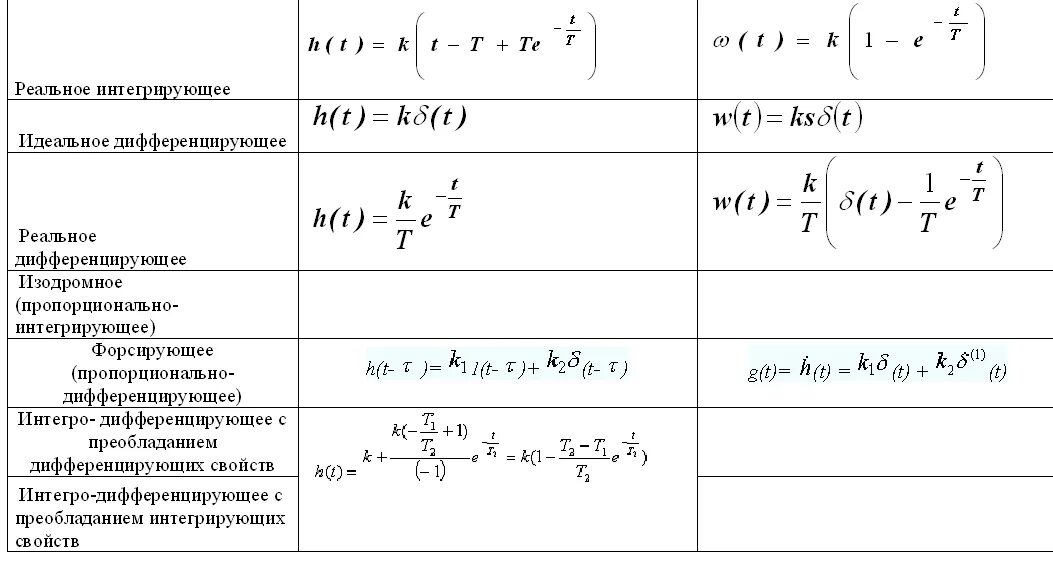
Реальное интегрирующее