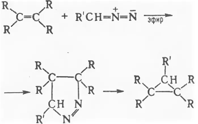
Реакция кижнера вольфа