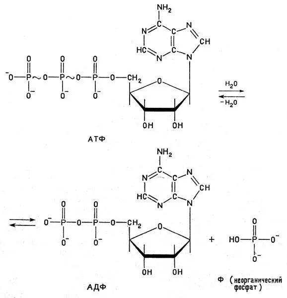
Реакции распада атф