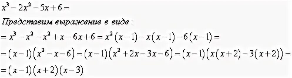
Разложите на множители x2 8x 16