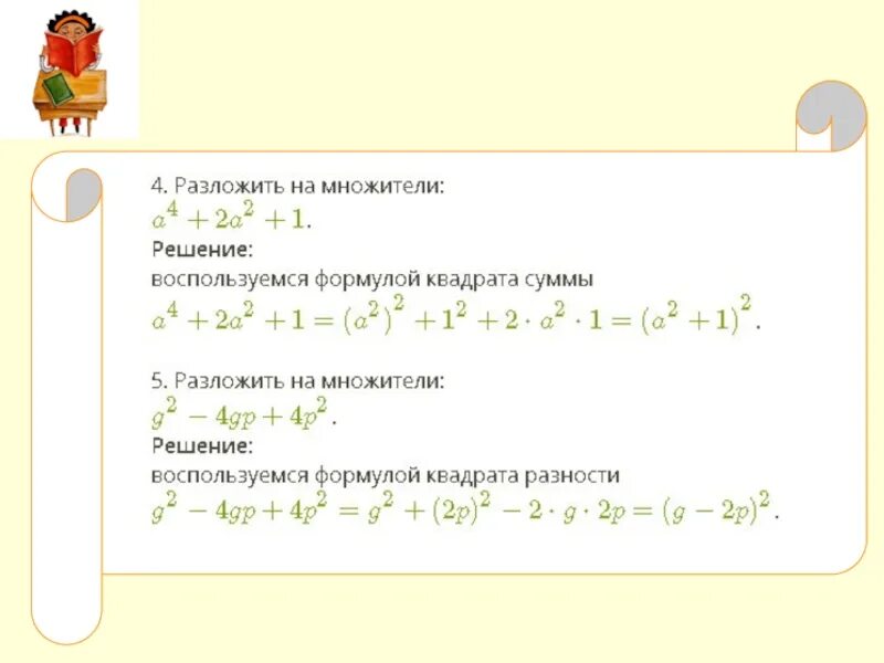
Разложить на множители с помощью формул