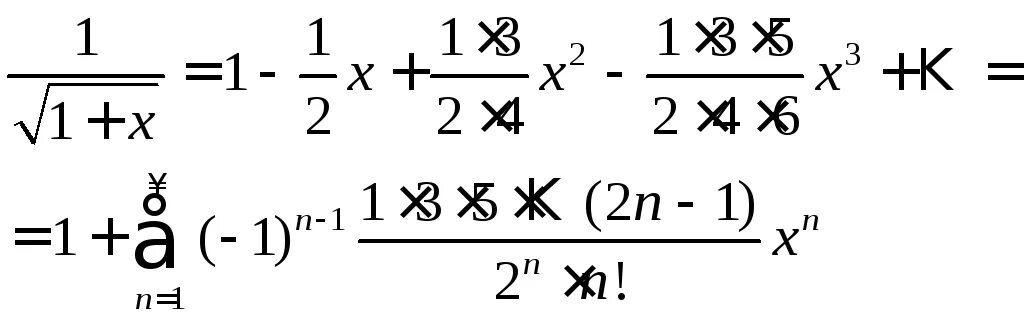
Разложение подынтегральной функции в ряд