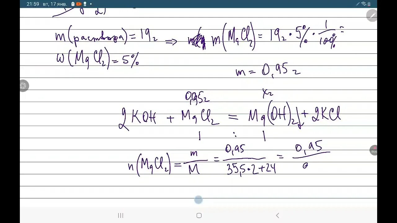
Разбор 19 задания огэ по химии