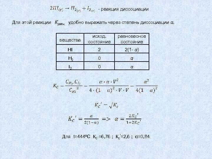
Равновесный выход реакции