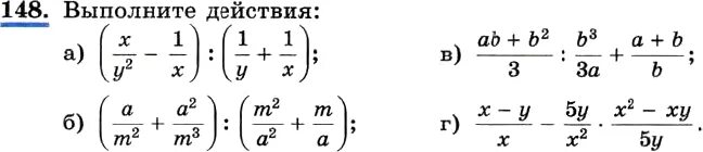
Рациональные выражения 8 класс макарычев