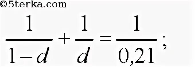
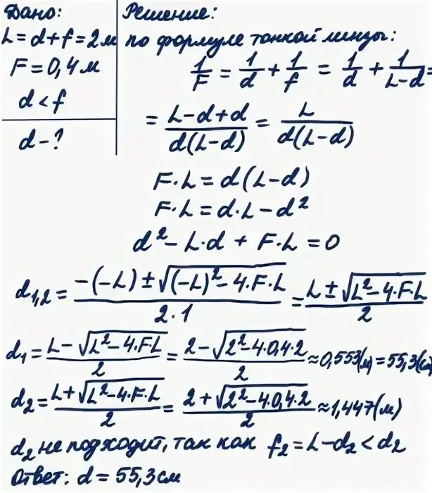
Расстояние между лампой и экраном