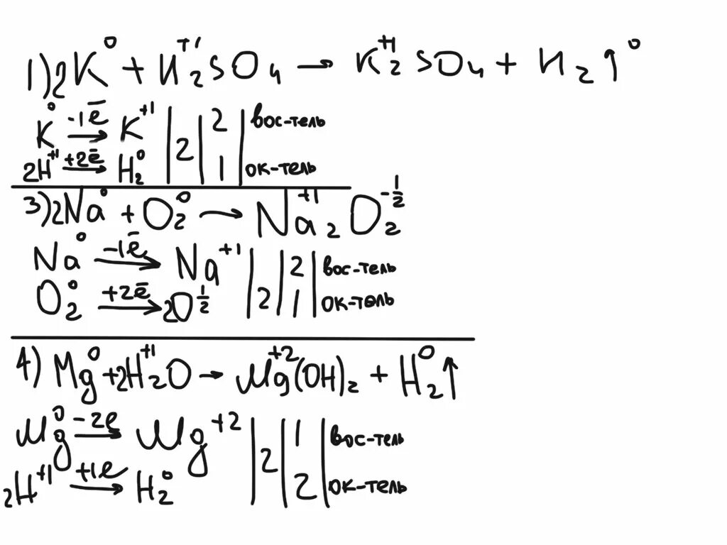
Расставьте коэффициенты методом электронного баланса na h2so4