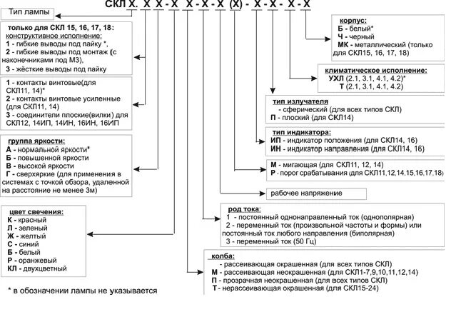
Расшифровка маркировки ламп