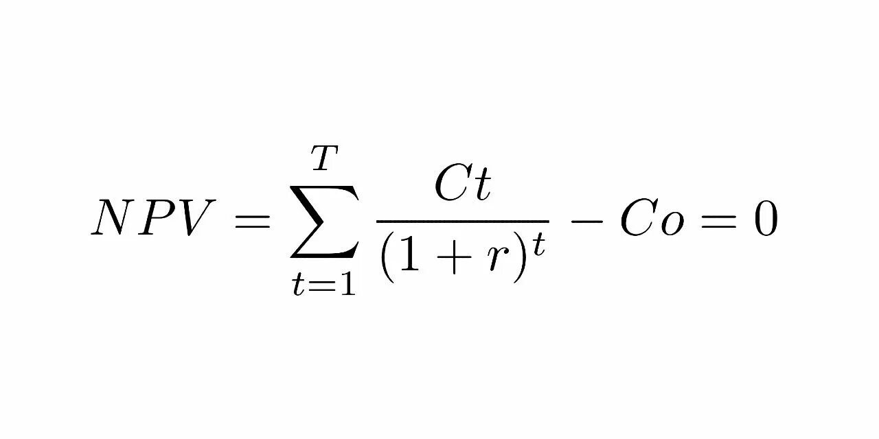
Рассчитайте irr проекта