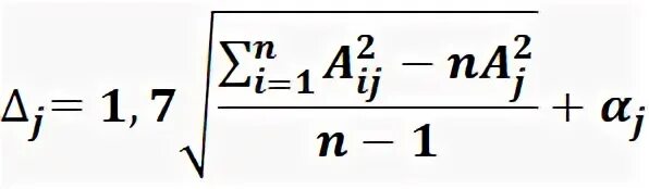
Рассчитать удельную активность