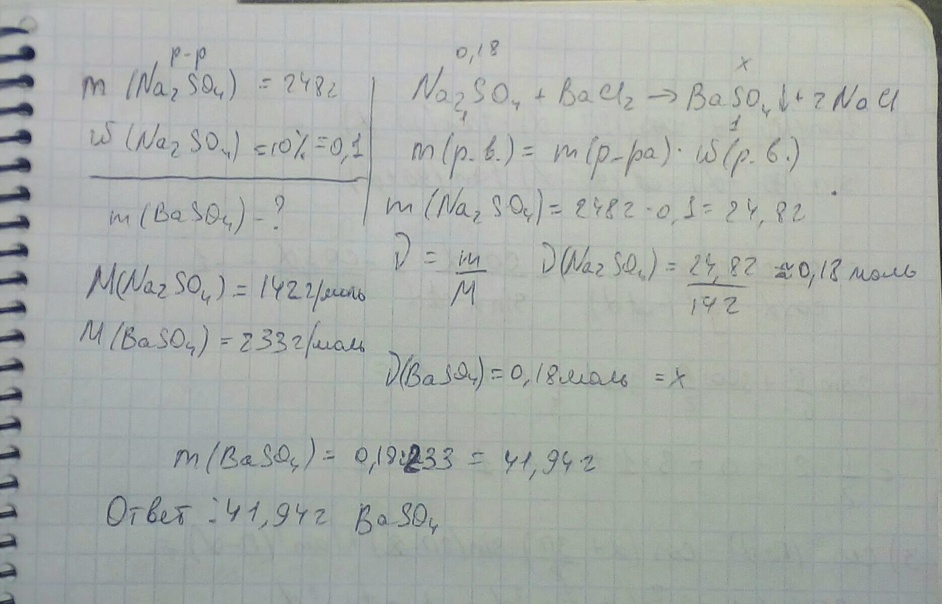
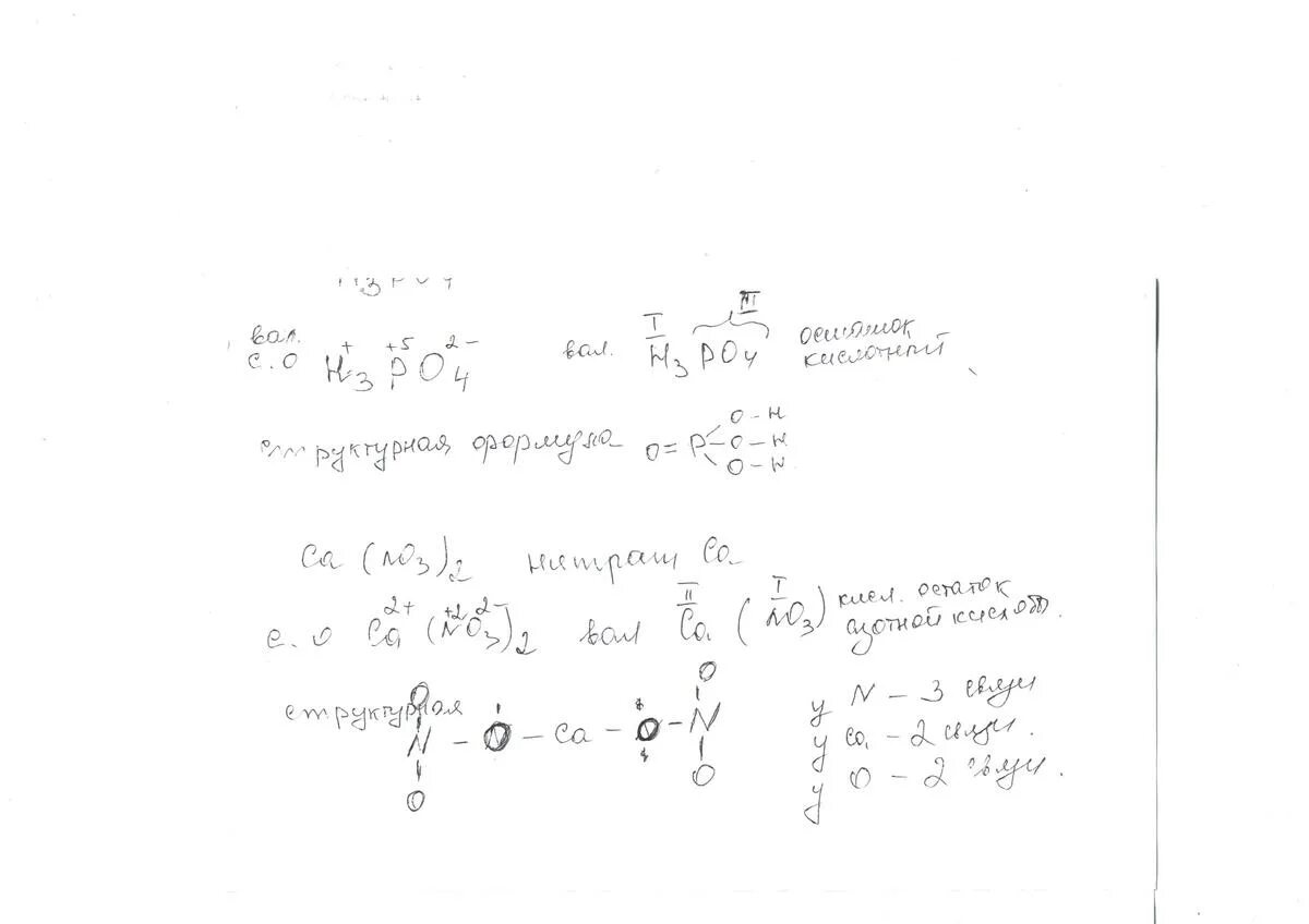
Рассчитать молярную массу ca3 po4 2