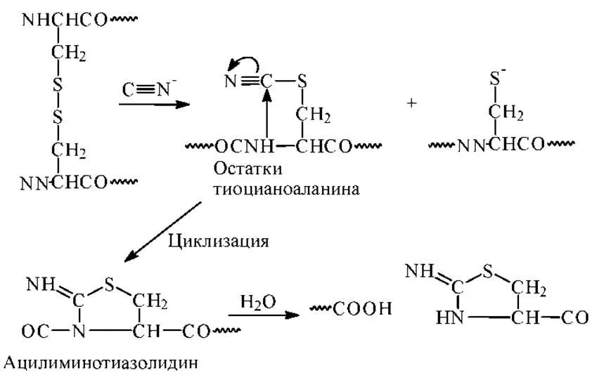
Расщепление пептидов