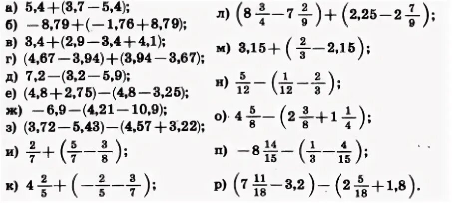
Раскройте скобки и вычислите 6 7