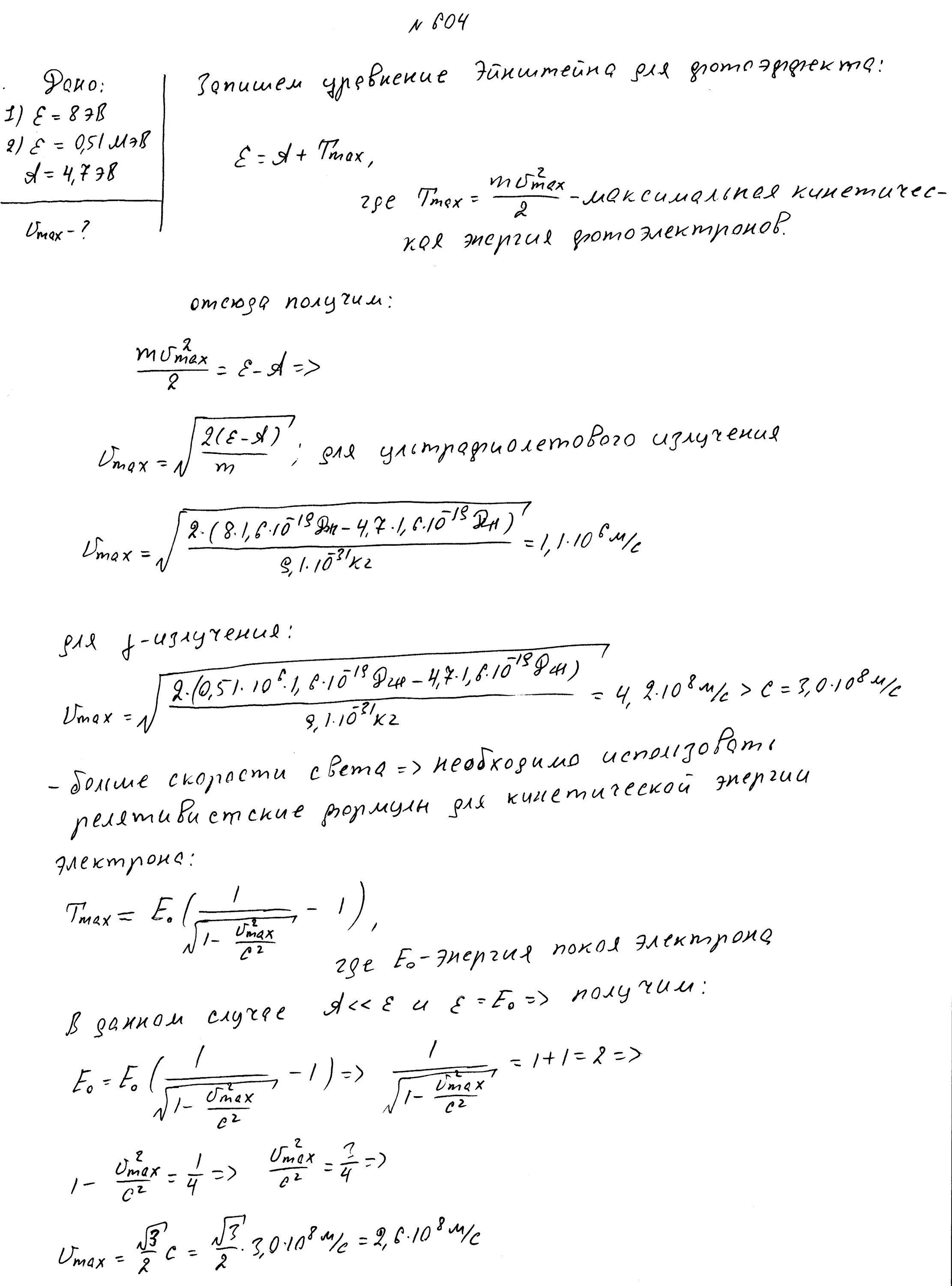
Работа выхода некоторого металла равна 3