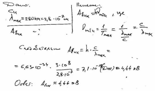
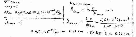
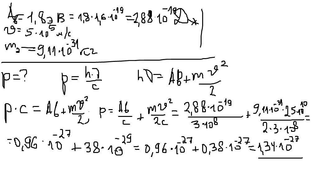
Работа выхода электронов равна 5 эв