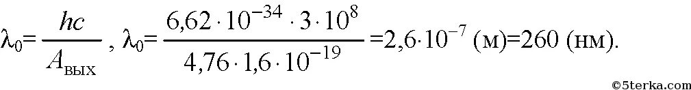
Работа выхода электрона из ртути 4.53