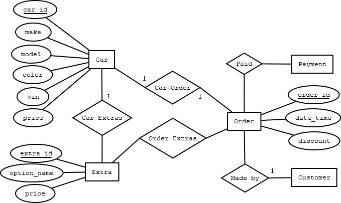
R e models