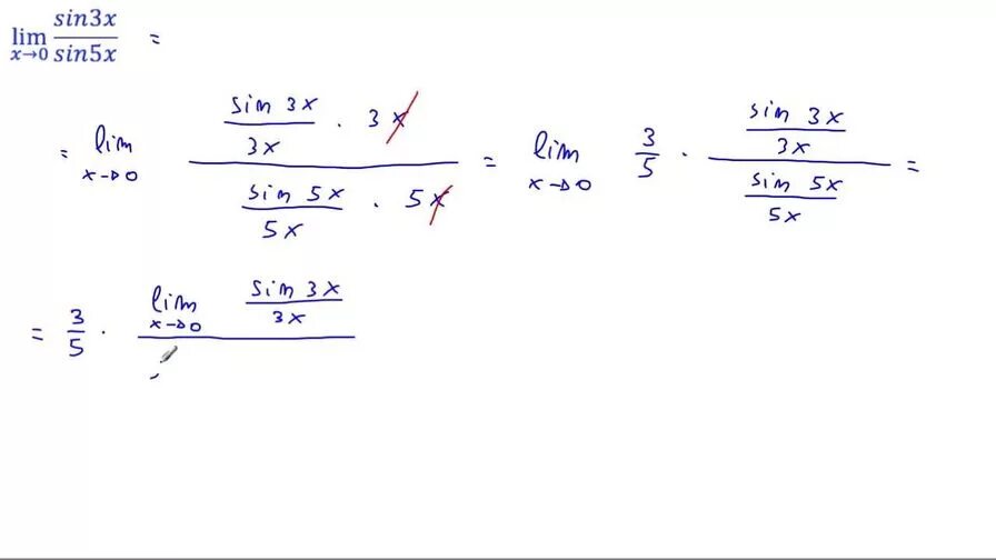
Q 3 x q 3 x